Trikloroizosiyanürik asit, kimyasal formül: C3O3N3Cl3,moleküler ağırlık: 232.41, güçlü klor tahriş edici tadı olan organik bir bileşik, beyaz kristal toz veya granüler katıdır.
Trikloroizosiyanürik asit son derece güçlü bir oksitleyici ve klorlayıcıdır. Patlayıcı nitrojen triklorür üretmek için amonyum tuzu, amonyak ve üre ile karıştırılır. Islandığında ve ısıtıldığında nitrojen triklorürü de serbest bırakacaktır. Organik madde içinde yanıcı olduğunda. Trikloroizosiyanürik asidin paslanmaz çelik üzerinde neredeyse hiç korozyon etkisi yoktur ve pirinç korozyonu karbon çeliğinden daha güçlüdür.
Ürün, aşağıdaki hususlar da dahil olmak üzere yaygın olarak kullanılmaktadır:
1. Dezenfeksiyon ve sterilizasyon:
Trikloroizosiyanürik asit, kararlı depolama, rahat ve güvenli kullanım ile oldukça etkili bir dezenfektan ve ağartma maddesidir. Gıda işleme, içme suyu dezenfeksiyonu, ipekböcekçiliği ve pirinç tohumu dezenfeksiyonunda yaygın olarak kullanılmaktadır. Hemen hemen tüm mantar, bakteri ve virüs sporları üzerinde öldürücü etkiye sahiptir, hepatit A ve hepatit B virüslerini öldürmede özel bir etkiye sahiptir ve cinsel virüsler ve HIV üzerinde iyi bir dezenfeksiyon etkisine sahiptir. Güvenli ve kullanımı rahattır. Endüstriyel sularda, havuz sularında, temizlik maddelerinde, hastanelerde, sofra takımlarında vb. dezenfektan olarak kullanılmış olup; ayrıca ipekböceği yetiştiriciliğinde ve diğer üremede sterilizasyon maddesi olarak kullanılır. Trikloroizosiyanürik asit, dezenfektan ve bakterisit olarak yaygın şekilde kullanılmasının yanı sıra endüstriyel üretimde de yaygın olarak kullanılmaktadır.
2. Baskı ve boyama endüstrisinde uygulama:
Trikloroizosiyanürik asit yüzde 90'a kadar aktif klor içerir ve baskı ve boyama endüstrisinde ağartıcı olarak kullanılır. Pamuk, keten, yün, sentetik elyaf ve karışımlı elyafın ağartılması için uygundur. Sadece elyafa zarar vermez, aynı zamanda sodyum hipoklorit ve ağartıcıdan daha iyi performansa sahiptir ve ithal sodyum hipoklorit yerine kullanılabilir.
3. Gıda endüstrisinde uygulama:
Gıda dezenfeksiyonu için kloramin T yerine, etkili klor içeriği kloramin t'nin üç katıdır. Ve dekstrinin renk giderici ve koku giderici maddesi olarak kullanılabilir.
4. Yünlü tekstil endüstrisindeki uygulama: Yünlü tekstil endüstrisinde potasyum bromat yerine yün çekme önleyici olarak kullanılır.
5. Kauçuk endüstrisindeki uygulama: Kauçuk endüstrisi üretiminde klorlama maddesi olarak kullanılır.
6. Endüstriyel oksidan olarak kullanılır: Trikloroizosiyanürik asidin oksidasyon-redüksiyon elektrot potansiyeli, hipoklorit yerine yüksek kaliteli bir oksidan olarak kullanılabilen hipoklorite eşdeğerdir.
7. Diğer yönler: organik sentez endüstrisinde hammadde olarak kullanılır ve Tri (2-hidroksietil) izosiyanürat gibi çeşitli organik maddeleri sentezleyebilir. Trikloroizosiyanürik asidin ayrışma ürünü olan siyanür asidi toksik olmamasının yanı sıra bir dizi reçine, kaplama, yapıştırıcı ve plastik üretmek gibi birçok kullanıma da sahiptir.
Trikloroizosiyanürik asidin ana sentez yöntemleri arasında klor gazı yöntemi, sıvı klorlama maddesi yöntemi, solvent yöntemi ve sodyum dikloroizosiyanürik asit (SDC) derin klorlama yöntemi yer alır.
(1) Klor yöntemi:
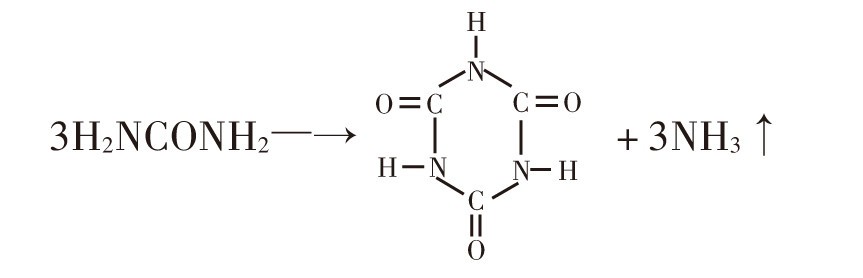
Adım 1: siyanürik asit (CA) sentezi Siyanürik asit esas olarak üre termal parçalama amonyak salma yöntemiyle üretilir. Reaksiyon formülü aşağıdaki gibidir:

Adım 2: alkali çözünmesi
Adım 3: klorlama

İşlem basit. Bununla birlikte, Ca'nın klorlanmasıyla TCCA'nın hazırlanması sürecinde, biüret, biüret, siyanür amid ve Ca'da klor ile reaksiyona girerek NCl3 ve ca oluşturan reaksiyona girmemiş ham madde üre gibi birçok yan ürün vardır. Alkali çözeltide NCl3 üretmek kolaydır. TCCA ürünleri ayrıca ısıtma veya alkali koşullar altında NCl3 oluşturmak üzere ayrışacaktır. Klor geçirme reaksiyonu kapalı kaplarda gerçekleştirilir. Herkesin bildiği gibi, NCl3 biriktiğinde patlaması kolaydır.
(2) Sıvı klorlama yöntemi:
Siyanürik asit bir bulamaç haline getirilir ve önceden hazırlanmış bir klorlama maddesi (CL20, HOCl, na0cl, vb.) ile belirli bir pH'ta klorlanır. Reaksiyon formülü:

Benzer şekilde, NCl3 oluşumunu önlemek için, bir yandan, safsızlık içeriğini yüzde 3'ün altına düşürmek için CA ara maddesi rafine edilir ve diğer yandan, pH'ı 3 ile 3 arasında kontrol etmek için proses koşulları sıkı bir şekilde kontrol edilir. 4 ve klorlama sıcaklığı 20 ile 25 derece arasındadır. Bu yöntem bir sıvı-sıvı faz reaksiyonudur. Girişe belirli bir miktarda hava verildiğinde, klorlama reaktörü, üretilen iz NCl3'ü zamanında boşaltmak için bir egzoz sistemi ile donatılır. Bu yöntemin reaksiyonu hızlıdır ve çevreyi kirletmez. Dezavantajı, hipokloröz asidin kararsız olması ve bunun sonucunda ürün veriminde azalma olmasıdır.
Ayrıca, Ca önceden hazırlanmış CL20 ile 200 derecenin altında reaksiyona girdikten sonra ayrılmadan ve kurutulmadan NCl3'süz kuru ürünler hazırlanabilir.
(3) Çözücü yöntemi
Su ile karışmayan, reaksiyon aktivitesi olmayan ve TCCA'yı çözebilen metan klorür gibi inert solvent kullanılır. Bu yöntemin süreklilik, otomasyon, büyük ölçekli ve küçük kirlilik avantajları vardır. Gelişmiş ülkelerde büyük ölçekli üretimlerde de kullanılmaktadır.
Sodyum dikloroizosiyanüratın (SDC) derin klorlanması
Sodyum dikloroizosiyanürat, klorlu izosiyanürat ürün serilerinden biridir. SDC ve taac'ın ortak üretiminde, siyanürik asit ve sodyum hipoklorit çözeltisi, 20-25 derecede reaksiyona girerek SDC'yi oluşturur ve ardından TCCA'yı oluşturmak için derin klorlanır. Reaksiyon formülü aşağıdaki gibidir:

Trikloroizosiyanürik asit (TCCA), klorlu izosiyanürik asit ürünlerinin önemli çeşitlerinden biridir. Yeni nesil yüksek verimli ağartma maddesi, klorlama maddesi ve dezenfektandır. Yüksek sterilizasyon ve ağartma gücü, stabil depolama ve taşıma, tabletleri güvenli hale getirme ve etkili kloru suda uzun süre salma özelliklerine sahiptir.
İç pazar:
İpekböcekçiliği ve su ürünleri yetiştiriciliğinin dezenfeksiyonu ve sterilizasyonu, Çin'deki trikloroizosiyanürik asidin ana tüketim alanlarıdır ve toplam tüketimin yüzde 50 ila yüzde 60'ını oluşturur. İnsanların yaşam standartlarının iyileştirilmesiyle, ipek ve su ürünlerinin artması, kesinlikle trikloroizosiyanürik asit talebinin artmasına neden olacaktır. Çin'de içme suyunun ciddi şekilde kirlenmesi, insanların büyük endişe duymasına neden oldu. Suyun kalitesinden emin olmak için içme suyu dezenfeksiyonunda kullanılan ürün tabletleri büyük ilgi görecektir. Buna ek olarak, yalnızca sirkülasyon suyunun kullanım oranını iyileştirmekle kalmaz, su kalitesini arındırır ve su tüketiminden tasarruf sağlar, aynı zamanda sirkülasyonlu su sisteminin normal, istikrarlı ve güvenli çalışmasını sağlar ve kapsamlı enerji tüketimini büyük ölçüde azaltır.
İstatistiklere göre, 2002 yılında Çin'de gerçek trikloroizosiyanürik asit tüketimi yaklaşık 30.000 ton idi. İpekböcekçiliği ve su ürünleri yetiştiriciliğinde ilaçlama miktarı toplam tüketimin yüzde 50'sini, medikal ve yiyecek-içecek sektörlerinde ilaçlama miktarı yüzde 15'ini, günlük ilaçlama miktarı yüzde 10'u, evsel su ve sirkülasyon suyu arıtma tüketimini oluşturdu. yüzde 8 olarak gerçekleşti. Tarım, balıkçılık, tekstil, kağıt yapımı ve yüzme havuzu tüketimi gelecekte artacaktır.
Yabancı ülkelerde triklorizosiyanürik asit üretmenin nispeten yüksek maliyeti ve yabancı ülkelerde klorlu ürünlerin üretimine getirilen belirli kısıtlamalar nedeniyle, yabancı ülkelerdeki bazı küçük ve orta ölçekli işletmeler trikloroizosiyanürik asit üretimini durdurmuş ve bunun yerine gelişmekte olan ülkelerden ithal etmişlerdir. ve daha sonra nihai ürünü oluşturmak için bileşik müstahzarını üretti. Bu nedenle, Çin'in bu ürünün ihracat hacmi son yıllarda artmıştır.

